種質資源是自然遺傳多樣性的重要來源,豐富的動植物種質資源為遺傳資源和育種研究提供了基礎,但同時也給遺傳資源的保存、研究和利用帶來了困難。為此,Frankel等人于1984年提出了核心種質(core?collection)的概念。構建核心種質資源庫是有效探索和保護遺傳資源新變異的重要途徑,近幾十年來,已經在多種植物上建立了核心種質資源庫,但是傳統的方法主要是通過形態學性狀和地理來源來判斷,這種方法存在明顯缺陷。隨著高通量測序技術的不斷發展,更有效的方法是基于基因型鑒定來篩選核心種質,利用高分辨率的分子標記類型,可以提高遺傳材料內及材料間遺傳相似度和雜合度的鑒別能力,更加有利于核心種質的構建。
一、核心種質資源庫概念:什么是核心種質?
核心種質資源(core?collection),即保存的種質資源的一個核心子集,是采用一定方法,從保存的某一物種種質資源中抽取的一個核心子集,以最少的遺傳資源樣本量最大限度地代表包括地理分布在內的整個資源群體的遺傳多樣性,而未列入核心種質的其它資源材料則作為保留樣本予以保存。因此核心種質可以作為種質資源群體研究和利用的切入點,從而提高整個種質庫的管理和利用水平。

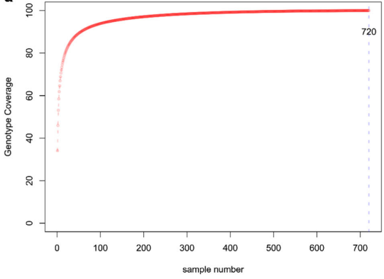
胡桃核心種質篩選(Bernard et al., 2018)
二、核心種質研究進展
1984年,Frankel等人首次提出了核心種質(core?collection)的概念。近幾十年來,核心種質發展迅速,已在多種植物上建立核心種質,特別是近幾年分子標記和測序技術的廣泛應用使得基于高密度SNP標記構建核心種質成為可能,對種質資源的群體結構和遺傳多樣性研究也愈加深入。如(Girma?et?al.,?2020)等用879,407個SNP對2010份埃塞俄比亞高粱種質資源進行核心種質資源鑒定,選擇了387個(種質資源的20%)種質作為核心種質;(Kumar?et?al.,?2020)等用3,565,117個高質量SNP對3004份水稻進行核心種質鑒定,得到一個包含520個種質的微核心種質,結果表明其代表了原有樣品的所有表型和地理來源;(Milner?et?al.,?2019)等對22,621份庫存大麥種質資源基因組多樣性進行研究,共選出1000份作為其核心種質集。除此之外,還有芝麻、小麥、棉花、甘薯、葡萄、杏、黃瓜、茄子、杉木、馬尾松等多種植物成功構建了核心種質資源庫。
三、核心種質研究技術路線

核心種質研究技術路線
四、核心種質材料選擇
種質資源分為兩個層次,一是某個物種的所有種質資源;另一是特定種質資源。對于一個物種所有的種質資源,應盡可能選擇整個較多的該物種的材料;對于特定的種質資源,可以選取不同地理位置性狀、表型性狀變異廣泛的材料、品種之間具有差異(野生種/馴化種/地方品種等)的材料。材料的選擇直接決定了核心種質的表型和遺傳變異組成,因此,選擇用于篩選核心種質的材料應盡可能地保證種質資源的遺傳多樣性。
五、核心種質構建方法
如前所述,核心種質是要以最少的遺傳資源數量最大限度地代表包括地理分布在內的整個資源群體的遺傳多樣性。所謂核心種質構建是指采用一定的方法從現有的種質資源的總樣品中提取符合上述目標的核心種質。最初,包含形態和農藝性狀的表型數據被用來創建核心集合,而現在分子標記作為測量遺傳變異的中性工具已成為選擇的工具。核心種質的構建有不同的方法,(Lee?et?al.,?2020)利用PowerCore,根據從南瓜基因組中均勻分布的2071個SNP計算出的遺傳變異,從595個原始種質中選出67個核心種質;(Xu?et?al.,?2020)利用?Core?Hunter?II的Mstrat策略,從204個青藏高原青稞種質中篩選得到41個核心種質;(Liu?et?al.,?2020)利用LDSS方法對湖北省內分布份208個重齒當歸進行核心種質鑒定,發現包含42個種質的核心種質集能更好地代表原始種質。從以上可以看出,不同的研究者在在不同物種核心種質構建過程中所采用的方法不盡一致,不管用哪種方法,前提都需要對整個種質資源的群體結構和多樣性組成有足夠的了解,根據遺傳變異標記(SNP)數據,結合多種評估措施(Modified?Rogers?distance、Shannons?Diversity?Index等)進行加權處理,篩選出具有高多樣性、高代表性和高等位基因豐富度的材料。

1234份黃瓜核心種質鑒定(Wang et al., 2018)

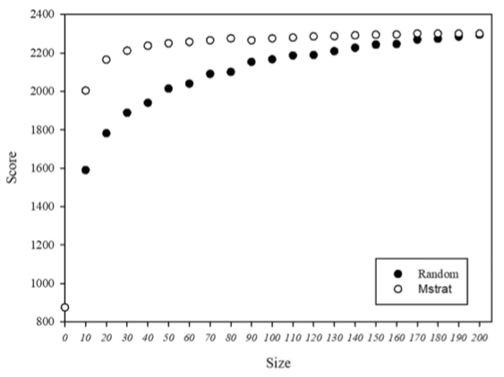
204份青藏高原青稞核心種質鑒定 (Xu et al., 2020)
六、核心種質的評估
構建好的核心種質采用何種方法去評估核心樣品對整個種質資源多樣性的代表性同樣是核心種質研究中的重點。目前,大多數研究者結合不同的方法對核心種質進行評估驗證,通過對原始種質材料和篩選的核心種質材料進行主成分分析,評估種質篩選的準確性,原則上,基于核心種質繪制的主成分圖和所有材料的分布圖趨勢吻合,就能說明篩選結果的合理性;計算常規的遺傳多樣性指標:觀測雜合度(Observed?heterozygosity)、期望雜合度(Expected?heterozygosity)、Nei遺傳多樣性(Nei?diversity?index)、香濃維納多樣性指數(Shanon-Wiener?index)、多態性信息含量(PIC),對原始種質材料以及篩選的核心種質的遺傳多樣性進行評價;另外還包括等位基因評價和表型評價。

南瓜核心種質PCA分析評估(Lee et al., 2020)

芋頭核心種質遺傳多樣性評價估(Wang?et?al.,?2020)
七、總結
核心種質可以最大限度地去除原始種質資源中的重復,以最少的種質材料代表原始種質資源的全部或大多數遺傳多樣性和地理來源,為當前越來越多的種質資源收集、評價和利用帶來了便利,特別是隨著基因組學的發展,測序成本的極速下降,使得大規模群體測序得以實現。利用高分辨率的分子標記,提升遺傳材料間遺傳相似度和雜合度的鑒別能力,從而選擇能夠代表整個種質資源基因多樣性的大小合理的核心種質材料,更加有助于種質資源的保存、管理、使用。使得我們可以有重點地進行優異種質的研究,結合GWAS分析、遺傳進化分析、QTL定位、特有標記開發等方法進一步進行基因的挖掘與克隆,提高種質資源的利用效率。
八、案例分享
Genome-wide?assessment?of?population?structure?and?genetic?diversity?and?development?of?a?core?germplasm?set?for?sweet?potato?based?on?specific?length?amplified?fragment?(SLAF)?sequencing?[1]
研究材料:197份甘薯種質資源(50個地方品種和147個栽培品種)
主要內容:本研究利用SLAF-seq技術對甘薯的50個地方品種和147個栽培品種進行簡化基因組測序,開發共得到了62,363個SNP標記,基于這些SNP對本研究的197個甘薯種質資源進行群體結構和遺傳多樣性評估,群體結構分析將材料分為三組;利用系統發育樹評估材料之間的遺傳關系,同樣將所有材料分為三個組。主成分分析?(PCA)?表明,這些種質根據其種群結構進行分布。此外,計算了種質間的平均遺傳距離、平均多態信息含量?(PIC)?和平均次要等位基因頻率?(MAF)?。使用?CoreHunter?軟件,鑒定得到了包含39?個材料的核心種質,約占總種質資源的19.8%。并對核心種質從PCA分析、遺傳多樣性、等位基因數層面進行了評價。本研究開發的甘薯核心種質將為未來甘薯育種改良提供寶貴的種質資源。

197份甘薯地理來源

馬尾松核心種質

馬尾松GWAS分析
Core?set?construction?and?association?analysis?of?Pinus?massoniana?from?Guangdong?province?in?southern?China?using?SLAF-seq?[2]
研究材料:149份馬尾松種質資源(來源于廣東省9個不同的地點)
主要內容:在本研究中,采用SLAF-seq技術對從中國廣東收集的149份馬尾松(Pinus?massoniana)材料進行測序,從599,164個多態性SLAF標簽中鑒定了471,660個SNP標記。群體結構分析表明,149份馬尾松不能劃分成明顯的亞種群。使用遺傳距離和種群結構來選擇核心種質,篩選出包含29個材料的核心種質,分別與樹脂產量和木材體積相關。對122份馬尾松材料進行關聯分析,包括不同高度(HT)、胸徑(DBH)、樹脂質量(RW)、木材體積(VW)和樹脂產率(RYC),使用mrMLM、FASTmrMLM、FASTmrEMMA和ISIS?EM-BLASSO檢測到大量的SNP與性狀HT、DBH、RW和RYC顯著相關。馬尾松核心種質為未來的改良育種提供寶貴的資源。

馬尾松核心種質

馬尾松GWAS分析
如果您對種質資源構建項目感興趣,歡迎點擊下方按鈕聯系我們
相關閱讀
參考文獻
[1]?Su?W,?Wang?L,?Lei?J,?et?al.?Genome-wide?assessment?of?population?structure?and?genetic?diversity?and?development?of?a?core?germplasm?set?for?sweet?potato?based?on?specific?length?amplified?fragment?(SLAF)?sequencing.?PLoS?One.?2017;12
(2):e0172066.[2]?Bai?Q,?Cai?Y,?He?B,?Liu?W,?Pan?Q,?Zhang?Q.?Core?set?construction?and?association?analysis?of?Pinus?massoniana?from?Guangdong?province?in?southern?China?using?SLAF-seq.?Sci?Rep.?2019;9(1):13157.



京公網安備 11011302003368號